
手机号:13333709510(微信同号) 13068761630 张老师
|
提升学历-成人高考报名入口 提升学历-成人高考报名时间 成人高考考试时间 首页 > 科学生活 > 粒子世界 > 16、夸克模型是在开玩笑?神人盖尔曼提出夸克理论 |
| 16、夸克模型是在开玩笑?神人盖尔曼提出夸克理论 |
| 上期咱们介绍了弱相互作用当中宇称不守恒的问题,其实从上个世纪60年代开始,人们对于粒子研究的重心发生了一丢丢的变化。你看之前就找新粒子,然后预言新粒子,再找新离子,所以早期的时候发现新粒子这就代表着和诺奖不远了。哎,这就说明当时啊是理论带领了实验走的,但是到了60年代末期。各种加速器对撞机纷纷建立起来,从最开始只有几兆电子伏特到现在的几百GeV,这就像是内存条的升级一样,这实验一下就反超了,发现了200多种新粒子。这就急需要理论物理学家的贡献呐,就是这两百多种粒子,它都是什么性质啊?还怎么分类呀?哪些是基本粒子啊?物理一门化繁为简的学科,如果能用一个公式来描述宇宙当中所有的现象,这就是终极目标,不过就目前来说啊,这个目标还差的太远了。就是在这个需要理论物理虚假的年代,几位伟人却相应离我们而去了。费米1954年因胃癌去世,享年才53岁。他都没有看到自己的学生杨振宁和李政道在1956年的贡献,费米也被后人称作最后一位理论和实验都是十分出色的双料物理学家。转年1955年爱因斯坦也去世了,这位几乎是一个人完成了相对论的大事。在晚年他一直在思考着如何将引力和电磁力统一,但是这个问题到现在至今无过。1958年,也就是杨李二人拿到诺奖的第二年,泡利也去世了。他被发现患有胰腺癌,泡利临终之前还在问他的助手,说你注意到我这病房房间号了吗?他的病房号是137号啊,而在物理学当中有一个精细结构常数,哎,它是近似1/137。1958年12月15日泡利就在这间137号病房当中带着对物理学的思考实施了,年仅58岁。到了1962年,量子力学的大师波尔也去世了。这无疑是一个时代的落幕。但是一些怀揣着梦想,继承了先人意志的年轻一代物理学家正在披荆斩棘,奋勇向前,这其中就包括杨振宁,李政道和咱们今天要说的这位盖尔曼。他提出一个新的量子数-奇异数对吧?但是那个时候啊,盖尔曼刚刚24岁啊,他更主要的贡献是提出了咱们接下来要说的夸克模型。1929年出生在美国纽约,他被人们称作是百科全书式的物理学家,颇有点儿这个托马斯杨的感觉。什么都会,从小呢就以神童著称,八岁的时候就上高中了啊,但是他和咱们之前了解的这些物理学大师不一样啊,你看之前咱们了解的这些大师都是从小对数学呀,物理呀有很深的造诣。盖尔曼是从小喜欢研究文学啊,什么语言啊,历史啊,研究这些。后来1944年15岁的盖尔曼生日当天他就决定要送给自己一个礼物,那就是成功考入美国耶鲁大学,15岁就上大学了。选什么专业呢?他父亲希望他学习工程学,但是他自己又不怎么喜欢啊,又不想违背父亲的意愿,说那就选一个和工程学差不多专业吧,于是就选择了物理了,1948年又获得了麻省理工学院的奖学金,然后就去攻读硕士研究生,他的导师叫做魏斯科普夫,这位也是哥本哈根学派出来的人,他跟随这个波尔、海森堡、泡利他们学习过。后来二战参加了曼哈顿计划,之后就在这个当教授,正是在他的影响之下啊,盖尔曼了解到了量子力学核物理等前沿科学。并且决心要做出一番成就,1952年在费米研究所做博士后,,又接受了费米一段时间的指导,1953年啊就是24岁的盖尔曼提出了奇异量子数。但是到了1954年这费米去世,盖尔曼十分心痛啊,他说我感觉生活都没有希望了,这物理学家也纷纷离开费米研究所。可见费米啊就是一个精神支柱,大国宝啊,后来1955年盖尔曼成为了加州理工学院的教授,在这里一直工作到了退休。那在这期间呢,这盖尔曼和大家熟悉的费曼啊,他俩成为了同事。他俩是亦敌亦友,时不时还搞出一些段很有趣儿,费曼本身就很逗啊,你们要是看过这个费曼的视频就知道了,他的课讲的跟脱口秀似的,而且还有一本书叫做别闹了,费曼先生,这里边儿有很多关于费曼的轶事儿。所以这俩人是经常能碰撞出火花了,盖尔曼更能闹啊,他写了一本书叫做《夸克与美洲豹》,这里边儿记录了夸克一词的由来,他说最开始就是想了个发音夸克,但是不知道怎么拼写,后来看了一本詹姆斯乔伊斯的小说叫做芬尼根守灵夜,这里边儿有一个词是这位作者创造出来的词叫quark,它是描述一种海鸟的叫声?你像英文里边这个狗叫就叫做bug,所以者就是创造了一个quark表示海鸟叫,盖尔曼感觉这词不错呀,而且他的叫法和他当时设想的这个基本粒子的叫法差不多,所以就它了。这本《芬尼根守灵夜》也因此火了一把。
上世纪60年代末期,当时人们面临最大的一个问题就是啊,这两百多种粒子如何分类?哎,咱们之前介绍过几种办法。如果按照自旋可以分为费米子和玻色子啊,
如果按照质量呢就可以分为轻子啊,最开始这个轻子就表示是轻的啊,然后质子和中子叫做核子啊。那介于他俩之间的就叫做介子,质量大于核子的呢,就叫做超子,这核子和超子又叫做重子。但是逐渐人们就发现啊,用质量来划分这些粒子啊,意义不大,说白了啊,这质量啊只是这些粒子的属性当中最普通的一个,微观粒子的属性可多了去了哎,所以们就想啊,必须得用一个最本质的性质来分类,那就是相互作用力。咱们之前介绍过,当时除了人们熟悉的引力和电磁力之外,物理学家又发现了两种力,哎,分别是强力和弱力。强力就是能够把质子和中子约束在原子核里的力量,弱力呢是能够使粒子发生衰变的力量。这两个力量有一个特点,就是他们都是短程的,作用距离都不长,这引力和电磁力就都是长程力。所以对于粒子来说,这弱力和强力才是主要矛盾啊,于是物理学家就根据参不参与,强相互作用来划分这些粒子。不参与强强的作用的就叫做轻子啊,参与强相互作用的就叫做强子。注意啊,从这儿开始的轻子就有了更明确的定义了,并不一定他得轻啊,但是必须不能够参加强相互作用。轻子到现在为止就发现了六种啊,
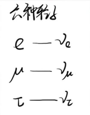
分别是电子、还有咱们之前提过的μ子,性质和电子差不多的那个大电子,对吧?后来人们又发现了一更大的电子,哎叫做τ子,质量比μ子还要大,那至此类电子家族成员啊就有三位了,更加巧合的是啊,另外三个轻子分别是三种中微子,分别是电中微子、μ中微子、τ中微子。这两组每两个一一对应,好记吧?这也暗示了这个弱相互作用当中的一些奇特的性质。再来看强子,咱们之前说过介子,核子、超子这些都是参与强相互作用的,所以他们都是强子。除了轻子和强子以外啊,还有一类特殊的粒子叫做规范玻色子,你比如光子,胶子,咱们之后再细说。那你自然就会问了啊,为啥轻子这么少,强子这么多呢?难道说这传说中的上帝还偏爱强力吗?哎,物理学家可不这么认为啊。他们的第一反应就是这两百多种粒子肯定不都是基本粒子,一定有可以化繁为简,最基本的东西存在。所以其实早在1949年的时候啊,这费米和杨振宁他俩就提出过一种模型叫做费米-杨模型。他俩认为这个质子和中子以及这哥俩的反粒子才是基本粒子,剩下的都是可以通过这四个基本粒子构造出来的,但是当时发现的粒子也不多呀,后来奇异粒子一出来,这两百多种,这直接就崩溃了。但是还有人不死心啊,就是咱们之前介绍过的坂田昌一,他在1956年费米杨模型推广了啊,他认为质子中子又加了一个Λ超子,这三个以及反粒子才是基本粒子。当然啊,咱们说起来感觉挺简单,其实这背后啊有高深的群论数学推动。坂田是使用SU(3)李群作为基础,SU(3)就是3的平方减去18维,后来盖尔曼就看到了坂田的方法,他不喜欢坂田这个模型,心说质子、中子、和Λ超子这肯定不是基本粒子。不过坂田这个数学方法不错,就是SU(3)对称理论。他就在此基础之上啊提出了自己的一套方法叫做八重道,因为有八维嘛。巧了,这就有点像我国的八卦,还有佛教当中的八正道,你看在音乐上还有八音,
所以这数字八也是挺神奇哈。盖尔曼的八重道啊就有点类似于门捷列夫的元素周期表,哎,哎,这么说有点理解了吧,他能把这些粒子呢根据性质排列起来,而且啊这元素周期表早期的时候那可是可以预言元素的呀,盖尔曼的这个八重道也可以,他就根据自己的理论计算,预言了Ω-超子,你可能会说了啊,那有正的了,我也能预言负的,那不行,人家盖尔曼可不是简单说说啊。他预言说这个Ω负粒子质量应该是1685Mev,平均寿命呢应该是十的负十次方秒左右。这个寿命在超子里边就算长寿了,因为其他粒子的寿命啊基本上比这个10的负22次方秒还要短。而且他还说了三种不同的衰变方式,你看这不神了吗?一年之后也就是1963年啊,塞米奥斯实验小组啊,就在云室当中拍摄了将近10万张照片,终于找到了一个盖尔曼所预言的Ω负离子。在这之后的十年里啊,物理学家才一共找到了39个Ω负离子,这个粒子的发现啊在理论物理上意义重大啊,也是SU(3)对称理论的巨大成功,因此他也被人们称作是粒子物理当中的海王星。到了1964年,就盖尔曼就一发不可收拾,他根据群论分析提出了一种新的基本粒子模型,就是夸克模型,其实另一位美国物理学家茨威格也在1964年提出了一个理论,和盖尔曼一样啊,茨威格的理论呢叫做艾斯模型。但是这个盖尔曼名气比较大,所以大家就只记住夸克模型了。盖尔曼说啊?说这强子太多了,但是呢他们都不是基本粒子,哎,而是有一种更基本的粒子,夸克组成的。最开始的盖尔曼就只提出了三种夸克啊,分别是上夸克upper,下夸克down和奇异夸克strange,简写就是uds啊,然后这三种夸克有自己的反粒子,就分别在这个上面打一横,就是反上夸克反下夸克和反奇异夸克。这名字一听就觉得怪啊,不过这还不算啊,他们的电荷更怪出现分数了。你看从密立根开始啊,确认了电量的基本单位是e之后人们就默认了啊,这电子的电荷e就是电荷的最小单位呀,这怎么能还能出现分数呢?哎,盖尔曼说啊,上夸克的电荷是2/3e,下夸克的电荷是-1/3e,奇异夸克的电荷也是-1/3e,然后根据他的夸克模型,这质子就是有两个上夸克和一个下夸克组成的,也就是uud,
那电荷就是2/3+2/3-1/3=1。对了,这质子带一个单位的正电荷,中子呢是由一个上夸克和两个下夸克组成的,也就是udd,
哎,那电荷就是2/3-1/3-1/3=0,你看中子不带电。讲到这儿啊,您可能大概明白这夸克是怎么回事儿啊,第一反应是不是这东西不就是东拼西凑吗?没错啊,当时的物理学家也是这么想的,就是这东西太小儿科了呀,哎,盖尔曼的老师啊,魏斯科普夫就不信这一套,这盖尔曼刚提出夸克模型的时候,就想给他老师打个电话说报个喜。没什么想啊,他老师在电话里边儿说说咱们这是国际漫游啊,很贵的,哎,咱们就不讨论这个夸克这些无聊的问题了吧,你看这一盆凉水泼下去呀。好的,盖尔曼之前还算是有一些名气啊,不过和他一起提出艾斯模型的这位茨威格可就没这么幸运了,有物理学家就直接当面儿说茨威格,说你Ace模型就是垃圾rubbish啊,我你也就是个江湖骗子。盖尔曼的夸克模型了,听起来确实不太靠谱,你不过能不能通过实验验证一下呢?你不是说质子和中子是由这个夸克组成的吗?那就试试对撞呗,看看能不能把这个质子撞碎,然后把这夸克撞出来呗。那这些夸克能不能从质子里边儿出来呢?盖尔曼的夸克模型到底靠不靠谱呢?下期见,拜拜。 |
| 返回目录 上一篇 下一篇 |
|
更多同类型书籍>>>>
提升学历-成人高考报名入口 提升学历-成人高考报名时间 成人高考考试时间 业余时间,轻松拿提升学历,知名高校: 国家开放大学(免试入学) |