邢老师:13068761630  13333709510(微信同号)  张老师
联大  青书学堂  文才  和学  江开  华夏大地  现代兴业  安徽教育在线  超星  中国大学mooc  学起plus弘成  广东开放大学  国家开放大学  上海开放大学  含弘慕课  中国医科大学 

成人高考指南

提升学历的理由:
升职加薪、积分落户、考研、公务员考试、子女入学、出国留学


成人高考报名入口


当前位置: 首页 > 现代兴业系统 > 通化师范学院> 通化师范学院高等数学(1)
 

输入试题:
显示现代兴业系统通化师范学院高等数学(1)所有答案
分段函数肯定不连续。( )
答案是:错误
初等函数在其定义域内都是连续的( )
答案是:错误
初等函数仅在其定义区间内连续在其定义域内不一定连续( )
答案是:正确
无穷个无穷小的和仍然是无穷小( )
答案是:错误
无穷个无穷小的积仍然是无穷小( )
答案是:错误
汽车的瞬时速度等于1秒内的平均速度()
答案是:错误
与曲线有且只有一个交点的直线就是切线 ()
答案是:错误
无穷小与无穷小比还是无穷小( )
答案是:错误
数列的极限可以看做函数自变量趋向于正无穷的极限的一个特殊情况( )
答案是:正确
连续函数经过四则运算后在定义域内仍然连续( )
答案是:正确
函数f(x)= In(x+1)+ 2-x +arcsinx 的定义域是
答案是:错误
当X->0时,f(x)= tan x-sinx是X的
答案是:错误
函数f(x)=Inx在x=0点
答案是:错误
设 F(x)是 f(x)的一个原函数,则有下面成立的是
答案是:错误
由曲线r=2cos0所围成的图形的面积是Π
答案是:正确
函数y=lgx/x-2+arcsin的定义域是
答案是:A


如果 f(cos x)=sin. x/COS2X则f(x)=
答案是:C


函数 y=3/3x+1的反函数 y=()3.+1
答案是:b


如果 f(x)的定义域是[0,1],则f(arcsin x)的定义域是 (
答案是:C 0,Π/2
如果函数 f(x) 的定义域是[-2,2],则 f(lg;x)的定义域是().
答案是:D九分之一,9
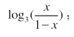
如果函数f(x)的定义域是[-2,2],则 flog,x) 的定义域是(
答案是:B 四分之一,4
如果函数F(x) 的定义域是[-2,三分之一],则f(x)的定义域是( )
答案是:D


已知,函数y=Intanx ,则该函数的导数为( )
答案是:D2csc2x
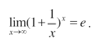
下列极限计算正确的是()
答案是:D


目前为: 1/1 页  首页   上页 下页 尾页

提升学历-成人高考报名入口    提升学历-成人高考报名时间     成人高考常见问题