
手机号:13333709510(微信同号) 13068761630 张老师
|
提升学历-成人高考报名入口 提升学历-成人高考报名时间 成人高考考试时间 首页 > 科学生活 > 粒子世界 > 13、仅仅6年!物理学家用核裂变改变世界格局!曼哈顿计划VS铀俱乐部 |
| 13、仅仅6年!物理学家用核裂变改变世界格局!曼哈顿计划VS铀俱乐部 |
粒子世界讲到现在到了历史上的一个转折点,也就是二战,那咱们今天就来聊一聊二战当中的物理学家。有人就把二战看作是物理学家之间的战争啊,其实从文艺复兴之后,这世界的科学中心实际上经历过了五次转移。世界科学中心这个词儿啊,不是说感觉上的,那如果一个国家它在一段时间内啊,科研成果超过全世界的25%,那就可以称作是世界科学中心了,所以大致的估算一下啊,16世界是意大利,那代表人物就是伽利略呀。从伽利略逝世之后,17世纪的科学中心就转移到了英国,像英国的牛顿、胡克、波义尔这都是领军人,到了18世纪这个科学中心就来到了法国,拉普拉斯、拉格朗日、拉瓦锡这些就都是大咖。19世纪这科学中心到哪儿了呢?就是德国爱因斯坦、玻恩、高斯、海参堡这帮人。科技的进步极大程度的推进了德国工业和军事的发展,要不然希特勒他也没有挑战全世界的信心啊,所以一直到了二战之前,德国的科学水平依旧是世界领先的。但是咱们之前说过啊,1932年这希特勒开始驱赶犹太人啊,爱因斯坦就首先跑到了美国,从这儿之后科学中心就一直留在了美国。这事说到底和犹太人有千丝万缕的联系啊,到了1938年11月9号这一天啊,在德国国内发生了一件事儿,叫做水晶之夜,为啥叫水晶之夜呢?又叫做碎玻璃之夜啊,这个盖世太保和党卫军开始大规模的袭击德国和奥地利的犹太人。把犹太人的店铺砸了个粉碎呀,哎,这个人性趋于疯狂的水晶之夜就标志着纳粹对犹太人有组织的屠杀行动的开始。大批量的犹太物理学家就纷纷的出逃,那咱们今天的故事啊就从这儿说起。话说1938年有一位女物理学家逃到了丹麦波尔的家中,这位正是咱们之前介绍过的莉泽迈特纳。她其实接受的是基督教的教育,但是他父亲是犹太人,所以你只要是有犹太人的血统,那都不行,当时的丹麦虽然被封锁了啊,不过丹麦国内的犹太人啊还没有遭到迫害。这波尔就劝莉泽迈特纳,他那说你快跑吧,这德国国内我看是待不下去了,这过段时间我也得跑,说着说着这迈特纳就留下了伤心的泪水。这位女强人她是终身未嫁,但是却有一位蓝颜之友,三十多年的友谊,他的挚友叫做哈恩,年龄与她相仿吧,她和哈恩在同一个实验室工作,一起研究了很多项目。他俩的关系好到什么程度呢莉泽迈特纳从德国准备出逃的时候啊,这哈恩母亲啊把自己的戒指都给了莉泽,你可见莉泽和哈恩他们家的关系那都不一般。莉泽在波尔家待了两周,辗转又逃到了瑞典,在诺贝尔研究所找了一份工作。刚一落脚就收到了一封信,正是哈恩寄来的,哈恩就在信上说,我发现了一种情况,咱们之前没见过粒子,你是行家,你可以看看呗。哈恩说是什么情况呢?是一种核反应啊,从卢瑟福开始,物理学家对于微观领域的研究就上升了一个台阶,也就是进入到这个原子核的研究了。然后又根据这个天然放射性,人们就发现了原子核是可以发生衰变的,你比如说放出贝塔粒子就是高能电子束的反应啊,像这样的反应呢就叫做贝塔衰变。放出阿尔法粒子啊,就是氦核的反应就叫做阿尔法衰变,但是天然放射性有一个特点,你就是天然嘛,人家说白了这个放射性元素它可以自发的放射线,也就是阿尔法贝塔伽。后来卢瑟福和约里奥居里夫妇啊,就开始研究人工放射性啊,也就是假设某个元素啊,它不具备这个天然放射性的条件,但是我能不能够通过人工的方式让它放射线呢?哎,能啊,具体的办法就是轰击,咱们之前说过用阿尔法粒子轰击别的元素。哎,总之你想要研究,你就得想办法呗,那当时就有这个阿尔法粒子的经济实惠。但是不管是天然的还是人工的反应啊,他这个前后核素的波动范围呀都不会太大,啥意思呢?我解释一下,你比如说阿尔法衰变,哎,一个铀238,它可以自发的衰变成一个钍234加上一个阿尔法粒子再加上释放能量。
你看238~234相差四个相对原子质量刚好是一个氦核。你再比如说人工的用阿法粒子去轰击,这阿尔法粒子就有可能和这个原子核就粘住了,1917年啊,卢瑟福就发现用一个阿尔法粒子去攻击氮原子,它就会变成一个氧原子,你看氮14变成了氧原子17,这就是所谓的波动范围不大。
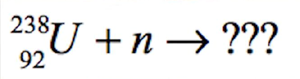
后来1932年这中子被发现了,物理学家又开始琢磨这能不能用中子轰击别的元素看看能啥样的,1934年真就有人这么干了,费米团队和约里奥居里夫妇就做了一个实验,用中子去轰击原子叙述序数为92的铀,当时根据费米的预言啊,应该会产生93号或者是94号的新元素,
这俩元素当时还没被发现呢,这很好理解,就和这个阿尔法粒子轰击氮元素差不多呗,不过当时也仅仅是猜测啊,你要想判断到底生成了是什么元素,你就得通过化学的方法萃取出来,然后分析性质来,但是由于这个当时条件也有限啊,费米和约里奥居里夫妇就都没有进行进一步的实验验证。话到此处就来到1938年,哈恩发现的就是这个反应。他发现用一个中子去攻击铀235,这回可不是小范围波动了,而是生成了两种元素,56号钡和36号氪。
你看这基本上这就是一分为二啊,最主要的是这个反应能够释放大量的能量,这就不是衰变,它就叫做核裂变。莉泽迈特纳看完了信之后,隐约感觉这事儿不一般啊,转年也就1939年,他就和他的侄子罗伯特弗利施写了一篇论文。把哈恩实验和自己的理论解释写了个明明白白,发表了出去,但是她和哈恩啊怎么都没想到六年之后短短的六年啊,根据他俩发现的和裂变研制出来的原子弹就在日本的广岛和长崎爆炸了。核裂变反应释放的能量太大了。所以莉泽的论文发表出去刚刚过了两天,这德国当局就组织人专门讨论原子弹的可行性,感觉可行,有搞头,哎,就开始组织人选。实验领头人那不用说了,哈恩就是大佬啊,,而且他不是犹太人啊,那理论找谁呢?选来选去啊,就选到了海森堡。这一堆党卫军就去找了海森堡,而海森堡可是土生土长的德国人啊,他虽然不讨厌犹太人,不过在国家做出这个重大选择的时候啊,他也不愿意去做一个叛徒贼,所以就同意了,再再加上一些比较有名气的物理学家,你比如说盖革啊,就发明盖革计数器的这位卢瑟福的助手。然后劳扼这是1914年诺贝尔奖得主啊,博特,这是后来的1954年的诺奖得主啊,等等,德国这边儿的队伍就算是组建完成了,哎,他们这个组织叫做铀俱乐部。你看这个配置可一点儿都不弱啊,而且德国是最早开始研制原子弹的,不仅如此啊,跟德国占领了捷克斯洛伐克之后把世界上当时最大的铀矿占为己有,因为这就是万事俱备呀,哎,那为啥不是德国最早研制出的原子弹呢?其实要把核裂变反应啊变成原子弹,还有一个事儿还没有解决叫做链式反应,就是说我不可能每一个u原子都用中子去攻击呀,这理想情况肯定是啊,我只攻击一次,哎,就像是点炮竹一样,这之后就噼里啪啦,我就不用管了。刚好这个裂变反应能够满足哎一个加热的慢中子,哎,还必须得是慢的啊,快的还不行啊,让他去轰击这个u235,哎,生成了钡和氪,并且会伴随着2~3个慢中子,
然后这几个慢中子再去攻击别的铀235,发生连锁反应。但是你为了保证这第一次释放出来的中子可以继续碰撞到别的u235,发生这个链式反应,那就需要这些铀235不能太少,所以就对应了一个临界质量,就是至少要有这么多的u235,后来有一种说法就是海森堡当年就是这个临界质量算错了,他算的是几吨啊?铀235在天然铀矿当中只占了0.7%左右,那大部分都是u238,所以你要想搞个几吨的u235,那在当时几乎是不可能的。后来到了1942年,德国研制原子弹的计划就基本上就停了。美国这边儿先是爱因斯坦过去了,1938年就费米领完了诺贝尔奖之后,他就没回意大利,费米本人不是犹太人,不过他妻子是犹太人。他去这个瑞典斯德哥尔摩领完奖之后直接就去了美国,这也成为了美国曼哈顿计划能够成功的主要原因之一。虽然爱因斯坦没有直接参与曼哈顿计划啊,不过一堆犹太人物理学家联名上书,让爱因斯坦签字给当时的美国总统罗斯福写信。希望研制核武器来制止纳粹,不过这封信啊就到底这个罗斯福看没看说法也不一,有一件事是可以肯定的,就罗斯福最开始他不相信什么核武器啊,也不愿意去凑这个二战的热闹,所以最早罗斯福只给播了6000美元。这啥也不够干的呀,这后来是日本偷袭了珍珠港,美国就加入了二战。曼哈顿计划,也才得到了重视,先后拨款了20亿美元。参与研制原子弹的物理学家啊,包括奥本海默、费米这算是顾问、塞格雷、查德威克、劳伦斯等等。后来这个波尔也成为了顾问,后人就把曼哈顿计划称作是诺奖集中营,这场有组织,有纪律的原子弹研制任务就这么开始了。总部设在美国田纳西州的橡树岭,主要做的就是铀的提纯。实验室建立在洛斯阿拉莫斯,实验室主任就是这个奥本海默,其实在这个实验室里边儿啊有两部分工作,第一部分就是继续用u235来研制,另一部分呢就是研究别的元素,看看行不行?哎,这部分领头人就是塞格雷。后来发现钚239也可以作为核裂变材料,投到日本的两颗原子弹,第二颗,这个叫胖子的这颗就是用钚制造出来的。第一颗叫做小男孩儿嘛,当然啊,咱们不鼓励以暴制暴,咱们还是希望这个世界和平的啊。但正是借着曼哈顿计划这个契机,让全世界优秀的物理学家哎能在一起共同研究原子核,你再加上这个巨资的支持,所以二战结束之后就留下了很多先进的仪器和设备,什么加速器呀,这对撞机呀等等。到了1950年左右,这人类对于粒子的研究就突飞猛进啊,发现了上百种从来没见过的粒子,但是这些粒子当中你哪些是基本粒子呢?也就是不可再分的呢?然后又应该如何将他们分类呢?哎,那好,咱们下期接着聊,下期见,拜拜。 |
| 返回目录 上一篇 下一篇 |
|
更多同类型书籍>>>>
提升学历-成人高考报名入口 提升学历-成人高考报名时间 成人高考考试时间 业余时间,轻松拿提升学历,知名高校: 国家开放大学(免试入学) |