王老师:19139051760(微信同号) 13333709510
找答案
注册
登录
名词解释
所有科目
成人高考
成考院校
联大
青书学堂
文才
和学
现代兴业
安徽教育在线
超星
弘成
广东开放大学
国家开放大学
上海开放大学
含弘慕课
教育服务
成人高校
成考录取分数线
我要提升学历
提升学历的理由:
升职加薪、积分落户、考研、公务员考试、子女入学、出国留学
成人高考报名入口
当前位置:
首页
>
青书学堂系统
>
佳木斯大学
>
佳木斯大学语言治疗学
输入试题:
本题添加时间:2024/3/10 14:33:00
圆梦客服:王老师 19139051760(微信同号) 19139051760(微信同号)
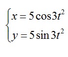
若点的运动方程为
,则它的运动轨迹是
。
·半圆弧
·圆周
·四分之一圆弧
·椭圆
答案是:单选题
·圆周
出自
佳木斯大学语言治疗学
青书学堂系统
佳木斯大学
更多试题>>>>
1、
空间力对点之矩是
。
·代数量
·滑动矢量
·定位矢量
·自由矢量
2、
mazonaws.com.cn/qingshuxuetang/staticQuestionImg/5c9c1d09-db60-442e-8b66-e32c05945618.jpg" >
·作用在点A左边的一个合力
·作用在点A
3、
圆轮绕定轴O匀速转动,某瞬时轮缘上一点的速度为v,加速度为a,如图所示。试问下列哪些情况是可能的( )。
·
如图所示,物块重G=40N,力P=40N,物块与地面之间的摩擦因数f=0.2,则其摩擦力的大小等于( )。
正方体仅受两个力偶作用,该两力偶矩矢等值、反向,即
提升学历-成人高考报名入口
提升学历-成人高考院校名单