王老师:19139051760(微信同号) 13333709510
找答案
注册
登录
名词解释
所有科目
成人高考
成考院校
联大
青书学堂
文才
和学
现代兴业
安徽教育在线
超星
弘成
广东开放大学
国家开放大学
上海开放大学
含弘慕课
教育服务
成人高校
成考录取分数线
我要提升学历
提升学历的理由:
升职加薪、积分落户、考研、公务员考试、子女入学、出国留学
成人高考报名入口
当前位置:
首页
>
青书学堂系统
>
佳木斯大学
>
佳木斯大学语言治疗学
输入试题:
本题添加时间:2024/3/10 14:32:00
圆梦客服:王老师 19139051760(微信同号) 19139051760(微信同号)
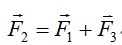
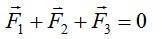
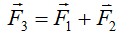
图中各个力之间的关系
。
·
·
·
·
答案是:单选题
·
出自
佳木斯大学语言治疗学
青书学堂系统
佳木斯大学
更多试题>>>>
1、
空间力偶矩矢是
·代数量
·滑动矢量
·定位矢量
·自由矢量
2、
图示作用于三角架的杆
AB
中点处的铅垂
3、
下列不属于中国古代“法”字的含义的是( )
·平之如水
·法,刑也
·公平
·保障权利
4、
古希腊主张“贤人政治”的思想家是( )
·亚里士多德
·柏拉图
·苏格拉底
·芝诺
5、
董必武认为进一步加强法制的中心环节是( )
·有法必依
·执法必严
·违法必究
·依法办事
提升学历-成人高考报名入口
提升学历-成人高考院校名单