王老师:19139051760(微信同号) 13333709510
找答案
注册
登录
名词解释
所有科目
成人高考
成考院校
联大
青书学堂
文才
和学
现代兴业
安徽教育在线
超星
弘成
广东开放大学
国家开放大学
上海开放大学
含弘慕课
教育服务
成人高校
成考录取分数线
我要提升学历
提升学历的理由:
升职加薪、积分落户、考研、公务员考试、子女入学、出国留学
成人高考报名入口
当前位置:
首页
>
青书学堂系统
>
西南石油大学
>
西南石油大学土木工程施工与组织(专升本)
输入试题:
本题添加时间:2024/1/29 15:44:00
圆梦客服:王老师 19139051760(微信同号) 19139051760(微信同号)
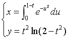
曲线
在点
处的切线方程为
。( )
·正确
·错误
答案是:判断题
·正确
出自
西南石油大学土木工程施工与组织(专升本)
青书学堂系统
西南石油大学
更多试题>>>>
1、
二重积分
设
级数
设空间两直线
设
提升学历-成人高考报名入口
提升学历-成人高考院校名单